Regla de Barrow Integrales definidas resueltas paso a paso , desde cero Tutorial ,pdf , cálculo integral , 1º 2º Bachillerato universidad .
Integrales Definidas Introducción
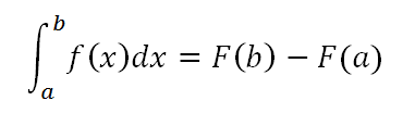
Regla de Barrow
Cómo resolver integrales definidas regla de Barrow
Dada una función f(x) continúa en el intervalo [a,b] y sea F(x) cualquier función primitiva de f
Ejercicio 1

Matemáticas 2º bachillerato ciencias y tecnológico curso totalmente gratuito para aprobar
Matemáticas 2º bachillerato ciencias sociales curso totalmente gratuito para aprobar
Química 2º bachillerato curso totalmente gratuito para aprobar
Curso de Física 2 bachiller





