Ejercicios resueltos de inecuaciones súper resumen para matemáticas 1 bachillerato 4 ESO
Esta entrada pertenece al curso para ser unas máquina de 4 ESO
Al curso para ser unas máquinas de 1 bachillerato y Curso para ser unas maquinas de 1 bachillerato Sociales
Ejercicios resueltos de inecuaciones Súper resumen
Realizaremos un súper resumen en vídeo de inecuaciones , donde veremos todas las CLAVES y TRUCOS para dominar este tema
Inecuaciones de primer grado
Ejemplo resuelto ver explicación
Resuelve las siguientes inecuaciones
![]()
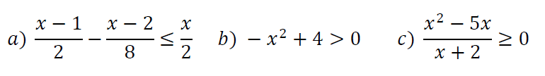
Inecuaciones polinómicas
Ejemplo resuelto ver explicación
Resuelve las siguientes inecuaciones
![]()
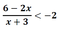
Inecuaciones Racionales
Ejemplo resuelto ver explicación
Resuelve las siguientes inecuaciones

Ejercicios resueltos inecuaciones
Vamos a fijar y a profundizar lo aprendido resolviendo los siguientes ejercicios ! Cuidado! algunos tienen las típicas » trampas » de examen , pero no te preocupes después de ver los vídeos nunca vas a caer en esas trampas y lo clavarás en el examen
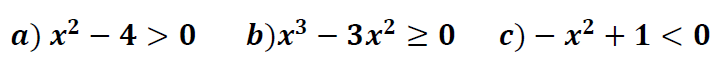
Ejercicios resueltos de inecuaciones de primer grado
![]()
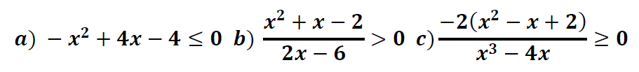
Ejercicios resueltos de inecuaciones polinómicas
![]()
Ejercicios resueltos de inecuaciones racionales

Aquí 👉 Cosigue nuestro PDF de inecuaciones en Bubok
Ejercicios de Inecuaciones resueltos de exámenes
Vamos a resolver varios ejercicios clásicos de exámenes con solución paso a paso , si pronto tienes examen no te los puedes perder !!!!
Ejercicio de inecuaciones de exámenes 1

Ejercicios de inecuaciones de exámenes 2

Ejercicios de inecuaciones de exámenes 3

OTRAS ENTRADAS QUE TE PUEDEN INTERESAR
CURSO DE FÍSICA Y QUÍMICA 3º ESO
CURSO DE MATEMÁTICAS 1º BACHILLERATO
MATEMÁTICAS SOCIALES 1º BACHILLERATO
CURSO DE FÍSICA Y QUÍMICA 1º BACHILLERATO
CURSO MATEMÁTICAS 2 BACHILLERATO
UNIVERSIDAD MATEMÁTICAS FÍSICA Y QUÍMICA






