Integrales inmediatas ejercicios resueltos Tabla Como resolver integrales En este curso aprenderemos a resolver integrales desde cero , a calcular integrales definidas , indefinidas ,áreas resueltas paso a paso online , matemáticas 2 bachillerato , universidad calculo pdf
Curso para aprender INTEGRALES
En esta entrada voy a recopilar todos los ejercicios que he hecho de integrales inmediatas .Sino dominas las reglas de integración seguir este enlace donde las explico detalladamenteEXPLICACIÓN DE LAS REGLAS DE LAS Integrales inmediatas
DESCARGA LA TABLA
Tabla de Integrales inmediatas
Así os vais a poder divertir un rato 🙂
Ejercicio 01 Integrales resueltas lind
Curso para aprender INTEGRALES
EXPLICACIÓN DE LAS REGLAS DE LAS Integrales inmediatas
integrales inmediatas ejercicios resueltos
Ejercicio 02 Integrales resueltas Selectividad CyL lind
( SEP 2013)
( SEP 2012)
(JUNIO GENERAL 2010)
(JUNIO 2004)
Más ejercicios de integrales inmediatas ejercicios resueltos
Integrales 01
Integrales 02
Integrales 03
Integrales 04
Integrales 05
Integrales 06
Integrales 07
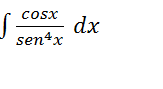
CLÁSICO Integrales 09
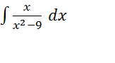
MUY Importante en este ejercicio os voy a dar la chapa para que podáis diferencia bien cuando una integral es arcotangente y cuando es logatírmica
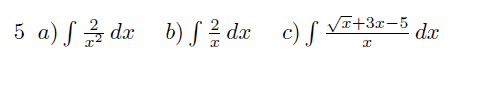
Integrales 08
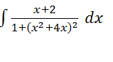
MUY Importante en este ejercicio os voy a dar la chapa para que podáis diferencia bien cuando una integral es arcoseno y cuando es potencial
Integrales 10
varios me habéis preguntado porque me pongo pesado con el me gusta . Ahí os dejo un video explicando el porque http://www.youtube.com/watch?v=DhtXp8z2oq0Ahora que ya eres una máquina de las integrales inmediatas voy a hacerte un par de preguntillas























Un comentario
el link de integrales 09 no lleva al video correspondiente. No cuesto mucho encontrarlo pero he pensado que te gustaría saberlo.
Gracias por tu trabajo!