Serie de ecuaciones resueltas de primer grado para evitar cometer errores a la hora de resolver problemas. profesor10 http://profesor10demates.blogspot.com.es/
Debéis aprender de los errores que cometáis
Ecuaciones de primer grado
Ejercicio 01
a) 3x-4 = -2x+6
b) 2x-5 = 4x-3
c) 3 = 9+x
d) 5 = 7-2x
Ejercicio 02 ver
a) 11x-2(2x+3) = 7
b) 5 -(x+1) = 2
c) 3x-2(x+1) = 5 -(x+1)
d) 2x-4 = 5x-4
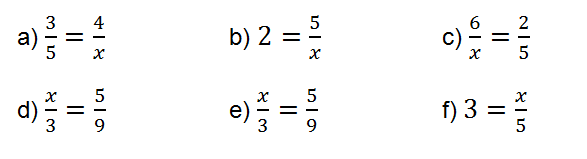
Ejercicio 03
P D los que tengáis algo oxidadas las matemáticas hacer esta serie , aunque no lo creáis os puede evitar lamentos posteriores.






7 comentarios
Sergio revisa el ejercicio b del vídeo 3
gracias , ya lo tengo corregido en las anotaciones , lo que ocurre es que a veces no saltan
saludos
bien chevere los ejercicios
gracias por tus aportes excelentes vídeos sobre la realización de ecuaciones Lineales
Gracias por los ejercicios!!!
ta bien profe esse dia lo vi con su esposa xD!!!1
Gracias Sergio eres un crack